题目内容
已知数列{an}的前n项和为Sn,满足Sn+2n=2an(1)证明:数列{an+2}是等比数列.并求数列{an}的通项公式an;
(2)若数列{bn}满足bn=log2(an+2),设Tn是数列
【答案】分析:(1)由Sn+2n=2an,知Sn=2an-2n.当n=1 时,S1=2a1-2,则a1=2,当n≥2时,Sn-1=2an-1-2(n-1),故an=2an-1+2,由此能够证明数列{an+2}是等比数列.并能求出数列{an}的通项公式an.
(2)由bn=log2(an+2)=
=n+1,得
,故
,由此利用错位相减法能够求出Tn,并证明
.
解答:证明:(1)由Sn+2n=2an得 Sn=2an-2n
当n∈N*时,Sn=2an-2n,①
当n=1 时,S1=2a1-2,则a1=2,
则当n≥2,n∈N*时,Sn-1=2an-1-2(n-1).②
①-②,得an=2an-2an-1-2,
即an=2an-1+2,
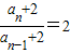
∴an+2=2(an-1+2)
∴
,
∴{an+2}是以a1+2为首项,以2为公比的等比数列.
∴an+2=4•2n-1,
∴an=2n+1-2.
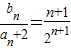
(2)证明:由bn=log2(an+2)=
=n+1,
得
,
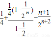
则
,③
④
③-④,得
=
=
=
,
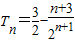
所以
.
点评:本题考查等比数列的证明和求数列{an}的通项公式an,
.解题时要认真审题,注意构造法和错位相减法的合理运用.
(2)由bn=log2(an+2)=
解答:证明:(1)由Sn+2n=2an得 Sn=2an-2n
当n∈N*时,Sn=2an-2n,①
当n=1 时,S1=2a1-2,则a1=2,
则当n≥2,n∈N*时,Sn-1=2an-1-2(n-1).②
①-②,得an=2an-2an-1-2,
即an=2an-1+2,
∴an+2=2(an-1+2)
∴
∴{an+2}是以a1+2为首项,以2为公比的等比数列.
∴an+2=4•2n-1,
∴an=2n+1-2.
(2)证明:由bn=log2(an+2)=
得
则
③-④,得
=
=
=
所以
点评:本题考查等比数列的证明和求数列{an}的通项公式an,
练习册系列答案
相关题目
已知数列{an}的前n项和Sn=an2+bn(a、b∈R),且S25=100,则a12+a14等于( )
| A、16 | B、8 | C、4 | D、不确定 |