题目内容
某村计划建造一个室内面积为800m2的矩形蔬菜温室.在温室内,沿左、右两侧与后侧内墙各保留1m宽的通道,沿前侧内墙保留3m宽的空地,当矩形温室的边长各为多少时,蔬菜的种植面积最大?最大种植面积是多少?
解:设温室的长为xm,则宽为
m,
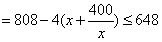
由已知得蔬菜的种植面积S为:

(当且仅当
即x=20时,取“=”),
故:当温室的长为20m,宽为40m时,蔬菜的种植面积最大,最大面积为648m2。
由已知得蔬菜的种植面积S为:
故:当温室的长为20m,宽为40m时,蔬菜的种植面积最大,最大面积为648m2。
练习册系列答案
相关题目