题目内容
设函数f(x)=ax+2,g(x)=a2x2-lnx+2,其中a∈R,x>0,
(1)若a=2,求曲线y=g(x)在点(1,g(1))处的切线方程;
(2)是否存在负数a,使f(x)≤g(x)对一切正数x都成立?若存在,求出a的取值范围;若不存在,请说明理由.
(1)若a=2,求曲线y=g(x)在点(1,g(1))处的切线方程;
(2)是否存在负数a,使f(x)≤g(x)对一切正数x都成立?若存在,求出a的取值范围;若不存在,请说明理由.
解:(1)由题意可知,当a=2时,
,
则
,
故曲线y=g(x)在点(1,g(1))处的切线斜率k=g'(1)=7,
又g(1)=6,
故曲线y=g(x)在点(1,g(1))处的切线方程为y-6=7(x-1),即y=7x-1.
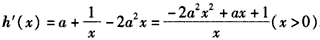
(2)设函数
,
则
,
假设存在负数a,使得f(x)≤g(x)对一切正数x都成立,
即当x>0时,h(x)的最大值小于等于零.
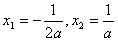
令h'(x)=0可得:
(舍),
当
时,h'(x)>0,h(x)单调递增;当
时,h'(x)<0,h(x)单调递减,
即h(x)在
处有极大值,也是最大值,
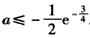
所以
,解得
,
所以负数a存在,它的取值范围为
。
练习册系列答案
相关题目