题目内容
已知等差数列{an}的前n项和为Sn,且a2=17,S10=100.(I)求数列{an}的通项公式;
(II)若数列{bn}满足bn=ancos(nπ)+2n(n∈N*),求数列{bn}的前n项和.
【答案】分析:(I)由题意等差数列{an}中a2=17,S10=100,利用通项公式及前n项和公式建立首项与公差的方程求出即可得到数列{an}的通项公式an;
(II)首先利用诱导公式以及(I)求出数列{bn}的通项公式,然后当n为奇数时Tn=b1+b2++bn=
,当n为奇数时,Tn=b1+b2+…+bn=
=2n+1+n-22,即可求出结果.
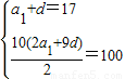
解答:解:(I)设an首项为a1,公差为d,
则
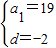
解得
(5分)∴an=19+(n-1)×(-2)=21-2n(7分)
(II)∵bn=ancos(nπ)+2n=(-1)nan+2n
当n为偶数时,Tn=b1+b2++bn=(-a1+2)+(a2+22)+(-a3+23)+…+(an+2n)
=
(10分)
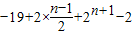
当n为奇数时,Tn=b1+b2++bn=(-a1+2)+(a2+22)+(-a3+23)+…+(-an+2n)
=
=
=2n+1+n-22(13分)
∴
(14分)
点评:本题考查了等差数列的通项公式、数列求和以及三角函数的诱导公式,(II)问要注意对n的奇偶性进行讨论,属于中档题.
(II)首先利用诱导公式以及(I)求出数列{bn}的通项公式,然后当n为奇数时Tn=b1+b2++bn=
解答:解:(I)设an首项为a1,公差为d,
则
(II)∵bn=ancos(nπ)+2n=(-1)nan+2n
当n为偶数时,Tn=b1+b2++bn=(-a1+2)+(a2+22)+(-a3+23)+…+(an+2n)
=
当n为奇数时,Tn=b1+b2++bn=(-a1+2)+(a2+22)+(-a3+23)+…+(-an+2n)
=
=
∴
点评:本题考查了等差数列的通项公式、数列求和以及三角函数的诱导公式,(II)问要注意对n的奇偶性进行讨论,属于中档题.
练习册系列答案
相关题目