题目内容

已知函数

(1)当时,解不等式

(2)若函数有最大值,求实数的值.

 

【答案】

(1) 解集为;(2)

【解析】

试题分析:(1)一元二次不等式一般都化为的形式,然后求出一元二次方程的根(如果有的话,当然不一定具体写方程的根是什么),再写出不等式的解集.(2)二次函数有最大值,说明二次项系数为正,然后直接利用最值公式立出关于参数方程即可.二次函数的最值为(最大最小由的正负确定).

试题解析:(1)当时,有,即

解得 

不等式的解集为    6分

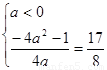
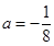
(2)由题意     10分

因此       12分

考点:(1)一元二次不等式的解法;(2)二次函数的最值.

 

练习册系列答案
相关题目

违法和不良信息举报电话:027-86699610 举报邮箱:58377363@163.com

精英家教网