题目内容
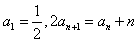
已知数列{an}中,a1=
,点(n,2an+1-an)在直线y=x上,其中n=1,2,3,…
(Ⅰ)令bn=an-1-an-1,求证数列{bn}是等比数列;
(Ⅱ)求数列{an}的通项;
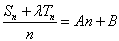
(Ⅲ)设Sn、Tn分别为数列{an}、{bn}的前n项和,是否存在实数λ,使得数列
为等差数列?若存在,试求出λ;若不存在,则说明理由。
(Ⅰ)令bn=an-1-an-1,求证数列{bn}是等比数列;
(Ⅱ)求数列{an}的通项;
(Ⅲ)设Sn、Tn分别为数列{an}、{bn}的前n项和,是否存在实数λ,使得数列
解:(Ⅰ)由已知得
,
,
又
,
∴
,
∴{bn}是以
为首项,以
为公比的等比数列;
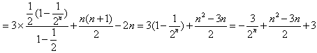
(Ⅱ)由(Ⅰ)知,
,
∴
,
∴
,
,……
∴
,
将以上各式相加得:
,
∴
,
∴
。
(Ⅲ)存在λ=2,使数列
是等差数列,

,
,
数列
是等差数列的充要条件是
(A、B是常数),
即
,
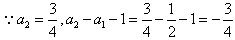
又
,
∴当且仅当
,即λ=2时,数列
为等差数列。
又
∴
∴{bn}是以
(Ⅱ)由(Ⅰ)知,
∴
∴
∴
将以上各式相加得:
∴
∴
(Ⅲ)存在λ=2,使数列
数列
即
又
∴当且仅当
练习册系列答案
相关题目
已知数列{an}中,a1=1,2nan+1=(n+1)an,则数列{an}的通项公式为( )
A、
| ||
B、
| ||
C、
| ||
D、
|