题目内容
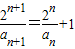
数列{an}满足a1=1,(Ⅰ)证明:数列
(Ⅱ)求数列{an}的通项公式an;
(Ⅲ)设bn=n(n+1)an,求数列{bn}的前n项和Sn.
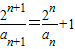
【答案】分析:(I)由已知中
(n∈N+),我们易变形得:
,即
,进而根据等差数列的定义,即可得到结论;
(II)由(I)的结论,我们可以先求出数列
的通项公式,进一步得到数列{an}的通项公式an;
(Ⅲ)由(II)中数列{an}的通项公式,及bn=n(n+1)an,我们易得到数列{bn}的通项公式,由于其通项公式由一个等差数列与一个等比数列相乘得到,故利用错位相消法,即可求出数列{bn}的前n项和Sn.
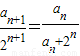
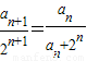
解答:解:(Ⅰ)证明:由已知可得
,
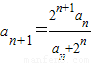
即
,
即
∴数列
是公差为1的等差数列(5分)
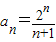
(Ⅱ)由(Ⅰ)知
,
∴
(8分)
(Ⅲ)由(Ⅱ)知bn=n•2n
Sn=1•2+2•22+3•23++n•2n
2Sn=1•22+2•23+…+(n-1)•2n+n•2n+1(10分)
相减得:
=2n+1-2-n•2n+1(12分)
∴Sn=(n-1)•2n+1+2
点评:本题考查的知识点是数列的递推公式及数列求各,其中(I)中利用递推公式,得到数列
是等差数列并求出其通项公式是解答本题的关键.
(II)由(I)的结论,我们可以先求出数列
(Ⅲ)由(II)中数列{an}的通项公式,及bn=n(n+1)an,我们易得到数列{bn}的通项公式,由于其通项公式由一个等差数列与一个等比数列相乘得到,故利用错位相消法,即可求出数列{bn}的前n项和Sn.
解答:解:(Ⅰ)证明:由已知可得
即
即
∴数列
(Ⅱ)由(Ⅰ)知
∴
(Ⅲ)由(Ⅱ)知bn=n•2n
Sn=1•2+2•22+3•23++n•2n
2Sn=1•22+2•23+…+(n-1)•2n+n•2n+1(10分)
相减得:
∴Sn=(n-1)•2n+1+2
点评:本题考查的知识点是数列的递推公式及数列求各,其中(I)中利用递推公式,得到数列
练习册系列答案
相关题目