题目内容
由函数
围成的几何图形的面积为
【答案】
![]()
【解析】
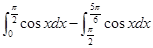
试题分析:画出函数
围成的几何图形,如图所示,则其面积为![]()
=
.
![]()
考点:1、余弦函数的图像;2、定积分的几何意义.
练习册系列答案
相关题目
题目内容
由函数
围成的几何图形的面积为
![]()
【解析】
试题分析:画出函数
围成的几何图形,如图所示,则其面积为![]()
=
.
![]()
考点:1、余弦函数的图像;2、定积分的几何意义.