搜索
题目内容
已知函数f(x)=
sin2x-2sin
2
x,
(1)求f(
)的值;
(2)若x∈
,求f(x)的最大值和最小值.
试题答案
相关练习册答案
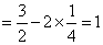
解:(1)
;
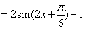
(2)
,
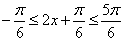
因为
,
所以
,
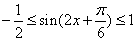
所以
,
所以f(x)的最大值为1,最小值为-2.
练习册系列答案
名校课堂系列答案
西城学科专项测试系列答案
小考必做系列答案
小考实战系列答案
小考复习精要系列答案
小考总动员系列答案
小升初必备冲刺48天系列答案
68所名校图书小升初高分夺冠真卷系列答案
伴你成长周周练月月测系列答案
小升初金卷导练系列答案
相关题目
(附加题)
(Ⅰ)设非空集合S={x|m≤x≤l}满足:当x∈S时有x
2
∈S,给出下列四个结论:
①若m=2,则l=4
②若
m=-
1
2
,则
1
4
≤l≤1
③若
l=
1
2
,则
-
2
2
≤m≤0
④若m=1,则S={1},
其中正确的结论为
②③④
②③④
.
(Ⅱ)已知函数
f(x)=x+
a
x
+b(x≠0)
,其中a,b∈R.若对于任意的
a∈[
1
2
,2]
,f(x)≤10在x∈
[
1
4
,1]
上恒成立,则b的取值范围为
(-∞,
7
4
]
(-∞,
7
4
]
.
将正奇数列{2n-1}中的所有项按每一行比上一行多一项的规则排成如下数表:
记a
ij
是这个数表的第i行第j列的数.例如a
43
=17
(Ⅰ) 求该数表前5行所有数之和S;
(Ⅱ)2009这个数位于第几行第几列?
(Ⅲ)已知函数
f(x)=
3
x
3
n
(其中x>0),设该数表的第n行的所有数之和为b
n
,
数列{f(b
n
)}的前n项和为T
n
,求证
T
n
<
2009
2010
.
(2012•开封二模)已知函数
f(x)=sin(x+
π
6
)+2si
n
2
x
2
.
(I)求函数f(x)的单调递增区间;
(II)记△ABC的内角A、B、C所对的边长分别为a、b、c若
f(A)=
3
2
,△ABC的面积
S=
3
2
,a=
3
,求b+c的值.
(2011•黑龙江一模)已知函数
f(x)=
3
2
sinxcosx-
3
2
si
n
2
x+
3
4
.
(Ⅰ) 求函数f(x)的单调递增区间;
(Ⅱ)已知△ABC中,角A,B,C所对的边长分别为a,b,c,若f(A)=0,
a=
3
,b=2
,求△ABC的面积S.
(2012•黄山模拟)已知函数
f(x)=l
n
2
(1+x),g(x)=
x
2
1+x
.
(Ⅰ)分别求函数f(x)和g(x)的图象在x=0处的切线方程;
(Ⅱ)证明不等式
l
n
2
(1+x)≤
x
2
1+x
;
(Ⅲ)对一个实数集合M,若存在实数s,使得M中任何数都不超过s,则称s是M的一个上界.已知e是无穷数列
a
n
=(1+
1
n
)
n+a
所有项组成的集合的上界(其中e是自然对数的底数),求实数a的最大值.
关 闭
试题分类
高中
数学
英语
物理
化学
生物
地理
初中
数学
英语
物理
化学
生物
地理
小学
数学
英语
其他
阅读理解答案
已回答习题
未回答习题
题目汇总
试卷汇总
练习册解析答案