题目内容
函数
【答案】分析:欲求函数的定义域,只需找到使函数解析式有意义的x的取值范围,因为函数中有对数,所以真数大于0,因为函数中有二次根式,所以被开方数大于等于0,解不等式组即可.
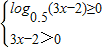
解答:解:要使函数有意义,需满足
,解得
∴函数的定义域为
故答案为
点评:本题主要考察了函数定义域的求法,主要是求使函数成立的x的取值范围.
解答:解:要使函数有意义,需满足
∴函数的定义域为
故答案为
点评:本题主要考察了函数定义域的求法,主要是求使函数成立的x的取值范围.
练习册系列答案
相关题目