题目内容
已知(1)求f(x)的单调递增区间;
(2)在△ABC中,a,b,c分别是角A,B,C的对边,已知
【答案】分析:(1)利用二倍角公式、两角差的余弦函数展开,合并后,化为一个角的一个三角函数的形式,利用周期求出ω,结合正弦函数的单调增区间,求出函数的单调增区间.
(2)通过f(A)=1,求出A的值,利用正弦定理求出B,C.
解答:解:(1)
=
=
∵T=π,ω>0,∴
∴
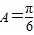
故递增区间为
(2)∴
∵
∴
即
或
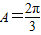
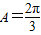
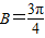
又a<b,∴A<B,故
舍去,∴
.
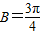
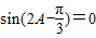
由
得
,∴
或
,
若
,则
.
若
,则
.
注意:没有说明“∵
”扣(2分)
点评:本题是中档题,考查三角函数的化简求值,三角函数公式的灵活运应,正弦定理的应用,注意A的范围是确定A的大小的根据,考查计算能力,逻辑推理能力.
(2)通过f(A)=1,求出A的值,利用正弦定理求出B,C.
解答:解:(1)
故递增区间为
(2)∴
即
又a<b,∴A<B,故
由
若
若
注意:没有说明“∵
点评:本题是中档题,考查三角函数的化简求值,三角函数公式的灵活运应,正弦定理的应用,注意A的范围是确定A的大小的根据,考查计算能力,逻辑推理能力.
练习册系列答案
相关题目