题目内容
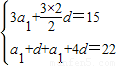
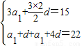
已知等差数列{an}的前n项和为Sn,且满足:S3=15,a2+a5=22.(1)求数列{an}的通项公式an;
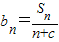
(2)若数列{bn}是等差数列,且
(3)若(2)中的{bn}的前n项和为Tn,求证:
【答案】分析:(1)利用等差数列的性质可得
,求出a1,d代入等差数列的通项公式可求an.
(2)代入等差数列的前n项和公式可求Sn,进一步可得bn,然后结合等差数列的定义可得2b2=b1+b3,从而可求c.
(3)先由配方法导出2Tn-3bn-1>4,再由均值定理导出
≤4,由此能证明
.
解答:解:(1)∵等差数列{an}中,S3=15,a2+a5=22,
∴
,
解得a1=1,d=4.
∴an=1+(n-1)×4=4n-3.
(2)∵a1=1,d=4,
∴Sn=n+
=2n2-n,
∵数列{bn}是等差数列,且
,
∴2(
)=
+
,
整理,得2c2+c=0,
∵c是非零常数,∴解得c=-
.
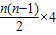
(3)由(2)得bn=
=2n,
∴{bn}的前n项和为Tn=2(1+2+3+…+n)=(n+1)n=n2+n,
∴2Tn-3bn-1=2(n2+n)-3(2n-2)=2(n-1)2+4≥4,
但由于n=1时取等号,从而等号取不到,
∴2Tn-3bn-1=2(n2+n)-3(2n-2)=2(n-1)2+4>4,
∴
=
=
=
≤4,n=3时取等号.
∴
.
点评:本题考查了等差数列的定义、性质、通项公式、前n项和公式的综合运用,考查了不等式的证明,解题时要认真审题,注意配方法和均值定理的合理运用.
(2)代入等差数列的前n项和公式可求Sn,进一步可得bn,然后结合等差数列的定义可得2b2=b1+b3,从而可求c.
(3)先由配方法导出2Tn-3bn-1>4,再由均值定理导出
解答:解:(1)∵等差数列{an}中,S3=15,a2+a5=22,
∴
解得a1=1,d=4.
∴an=1+(n-1)×4=4n-3.
(2)∵a1=1,d=4,
∴Sn=n+
∵数列{bn}是等差数列,且
∴2(
整理,得2c2+c=0,
∵c是非零常数,∴解得c=-
(3)由(2)得bn=
∴{bn}的前n项和为Tn=2(1+2+3+…+n)=(n+1)n=n2+n,
∴2Tn-3bn-1=2(n2+n)-3(2n-2)=2(n-1)2+4≥4,
但由于n=1时取等号,从而等号取不到,
∴2Tn-3bn-1=2(n2+n)-3(2n-2)=2(n-1)2+4>4,
∴
∴
点评:本题考查了等差数列的定义、性质、通项公式、前n项和公式的综合运用,考查了不等式的证明,解题时要认真审题,注意配方法和均值定理的合理运用.
练习册系列答案
相关题目