题目内容
若数列
的前
项和为
,则
.
【答案】
![]()
【解析】
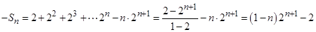
试题分析:由
,…………………①
得
…………②
由①-②得
,
所以,
.
考点:错位相减法.
练习册系列答案
相关题目
题目内容
若数列
的前
项和为
,则
.
![]()
【解析】
试题分析:由
,…………………①
得
…………②
由①-②得
,
所以,
.
考点:错位相减法.