ÌâÄ¿ÄÚÈÝ
ÔÚÆ½ÃæÖ±½Ç×ø±êϵxOyÖУ¬ÒÑÖªÔ²C1£º£¨x-1£©2+y2=16£¬Ô²C2£º£¨x+1£©2+y2=1£¬µãSΪԲC1ÉϵÄÒ»¸ö¶¯µã£¬ÏÖ½«×ø±êÆ½ÃæÕÛµþ£¬Ê¹µÃÔ²ÐÄC2£¨-1£¬0£©Ç¡ÓëµãSÖØºÏ£¬ÕÛºÛÓëÖ±ÏßSC1½»ÓÚµãP£®£¨1£©Ç󶯵ãPµÄ¹ì¼£·½³Ì£»
£¨2£©¹ý¶¯µãS×÷Ô²C2µÄÁ½ÌõÇÐÏߣ¬Çеã·Ö±ðΪM¡¢N£¬ÇóMNµÄ×îСֵ£»
£¨3£©Éè¹ýÔ²ÐÄC2£¨-1£¬0£©µÄÖ±Ïß½»Ô²C1ÓÚµãA¡¢B£¬ÒÔµãA¡¢B·Ö±ðΪÇеãµÄÁ½ÌõÇÐÏß½»ÓÚµãQ£¬ÇóÖ¤£ºµãQÔÚ¶¨Ö±ÏßÉÏ£®
¡¾´ð°¸¡¿·ÖÎö£º£¨1£©ÓÉÌâÒâµÃ|PC1|+|PC2|=|PC1|+|PS|=4£¾|C1C2|£¬¹ÊPµãµÄ¹ì¼£ÊÇÒÔC1¡¢C2Ϊ½¹µã£¬4Ϊ³¤Ö᳤µÄÍÖÔ²£¬ÓÉ´Ë¿ÉÇóPµãµÄ¹ì¼£·½³Ì£»
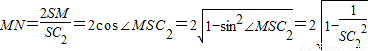
£¨2£©·¨1£¨¼¸ºÎ·¨£© ¸ù¾ÝËıßÐÎSMC2NµÄÃæ»ý=
£¬¿ÉµÃ
£¬´Ó¶øSC2È¡µÃ×îСֵʱ£¬MNÈ¡µÃ×îСֵ£»
·¨2£¨´úÊý·¨£© ÉèS£¨x£¬y£©£¬Éè³öÒÔSC2Ϊֱ¾¶µÄÔ²µÄ±ê×¼·½³Ì£¬¸Ã·½³ÌÓëÔ²C2µÄ·½³ÌÏà¼õµÃ£¬Çó³öÔ²ÐÄC2µ½Ö±ÏßMNµÄ¾àÀ룬
£¬¸ù¾Ýx¡Ê[-3£¬5]£¬ÇóµÃdmax=
£¬´Ó¶ø¿ÉÇóÇóMNµÄ×îСֵ£»
£¨3£©ÉèQ£¨m£¬n£©£¬Çó³ö¡°ÇеãÏÒ¡±ABµÄ·½³Ì£¬½«µã£¨-1£¬0£©´úÈ룬¼´¿ÉµÃµ½½áÂÛ£®
½â´ð£º½â£º£¨1£©ÓÉÌâÒâµÃ|PC1|+|PC2|=|PC1|+|PS|=4£¾|C1C2|£¬¹ÊPµãµÄ¹ì¼£ÊÇÒÔC1¡¢C2Ϊ½¹µã£¬4Ϊ³¤Ö᳤µÄÍÖÔ²£¬
Ôò2a=4£¬c=1£¬ËùÒÔa=2£¬
£¬¹ÊPµãµÄ¹ì¼£·½³ÌÊÇ
£®£¨5·Ö£©
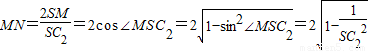
£¨2£©·¨1£¨¼¸ºÎ·¨£© ËıßÐÎSMC2NµÄÃæ»ý=
£¬
ËùÒÔ
£¬£¨9·Ö£©
´Ó¶øSC2È¡µÃ×î´óֵʱ£¬MNÈ¡µÃ×îСֵ£¬ÏÔÈ»µ±S£¨-3£¬0£©Ê±£¬SC2È¡µÃ×î´óÖµ2£¬
ËùÒÔ
£®£¨12·Ö£©
·¨2£¨´úÊý·¨£© ÉèS£¨x£¬y£©£¬ÔòÒÔSC2Ϊֱ¾¶µÄÔ²µÄ±ê×¼·½³ÌΪ
£¬
¸Ã·½³ÌÓëÔ²C2µÄ·½³ÌÏà¼õµÃ£¬£¨x+1£©x+yy+x=0£¬£¨8·Ö£©
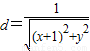
ÔòÔ²ÐÄC2µ½Ö±ÏßMNµÄ¾àÀë
=
£¬
ÒòΪ
£¬ËùÒÔ
£¬´Ó¶ø
£¬x¡Ê[-3£¬5]£¬
¹Êµ±x=-3ʱdmax=
£¬
ÒòΪ
£¬ËùÒÔ
=
£®£¨12·Ö£©
£¨3£©ÉèQ£¨m£¬n£©£¬Ôò¡°ÇеãÏÒ¡±ABµÄ·½³ÌΪ£¨m-1£©£¨x-1£©+ny=16£¬
½«µã£¨-1£¬0£©´úÈëÉÏʽµÃm=-7£¬n¡ÊR£¬¹ÊµãQÔÚ¶¨Ö±Ïßx=-7ÉÏ£®£¨16·Ö£©
µãÆÀ£º±¾ÌâÖ÷Òª¿¼²éÖ±Ïß¡¢Ô²¡¢ÍÖÔ²»ù´¡ÖªÊ¶£¬¿¼²éÔËËãÇó½â¡¢×ÛºÏÓ¦ÓÃÄÜÁ¦£®
£¨2£©·¨1£¨¼¸ºÎ·¨£© ¸ù¾ÝËıßÐÎSMC2NµÄÃæ»ý=
·¨2£¨´úÊý·¨£© ÉèS£¨x£¬y£©£¬Éè³öÒÔSC2Ϊֱ¾¶µÄÔ²µÄ±ê×¼·½³Ì£¬¸Ã·½³ÌÓëÔ²C2µÄ·½³ÌÏà¼õµÃ£¬Çó³öÔ²ÐÄC2µ½Ö±ÏßMNµÄ¾àÀ룬
£¨3£©ÉèQ£¨m£¬n£©£¬Çó³ö¡°ÇеãÏÒ¡±ABµÄ·½³Ì£¬½«µã£¨-1£¬0£©´úÈ룬¼´¿ÉµÃµ½½áÂÛ£®
½â´ð£º½â£º£¨1£©ÓÉÌâÒâµÃ|PC1|+|PC2|=|PC1|+|PS|=4£¾|C1C2|£¬¹ÊPµãµÄ¹ì¼£ÊÇÒÔC1¡¢C2Ϊ½¹µã£¬4Ϊ³¤Ö᳤µÄÍÖÔ²£¬
Ôò2a=4£¬c=1£¬ËùÒÔa=2£¬
£¨2£©·¨1£¨¼¸ºÎ·¨£© ËıßÐÎSMC2NµÄÃæ»ý=
ËùÒÔ
´Ó¶øSC2È¡µÃ×î´óֵʱ£¬MNÈ¡µÃ×îСֵ£¬ÏÔÈ»µ±S£¨-3£¬0£©Ê±£¬SC2È¡µÃ×î´óÖµ2£¬
ËùÒÔ
·¨2£¨´úÊý·¨£© ÉèS£¨x£¬y£©£¬ÔòÒÔSC2Ϊֱ¾¶µÄÔ²µÄ±ê×¼·½³ÌΪ
¸Ã·½³ÌÓëÔ²C2µÄ·½³ÌÏà¼õµÃ£¬£¨x+1£©x+yy+x=0£¬£¨8·Ö£©
ÔòÔ²ÐÄC2µ½Ö±ÏßMNµÄ¾àÀë
ÒòΪ
¹Êµ±x=-3ʱdmax=
ÒòΪ
£¨3£©ÉèQ£¨m£¬n£©£¬Ôò¡°ÇеãÏÒ¡±ABµÄ·½³ÌΪ£¨m-1£©£¨x-1£©+ny=16£¬
½«µã£¨-1£¬0£©´úÈëÉÏʽµÃm=-7£¬n¡ÊR£¬¹ÊµãQÔÚ¶¨Ö±Ïßx=-7ÉÏ£®£¨16·Ö£©
µãÆÀ£º±¾ÌâÖ÷Òª¿¼²éÖ±Ïß¡¢Ô²¡¢ÍÖÔ²»ù´¡ÖªÊ¶£¬¿¼²éÔËËãÇó½â¡¢×ÛºÏÓ¦ÓÃÄÜÁ¦£®
Á·Ï°²áϵÁдð°¸
Ïà¹ØÌâÄ¿