题目内容
对一切的x∈(0,+∞),3x2+2ax-2xlnx+1≥0恒成立,求实数a的取值范围.
【答案】分析:先分离参数,再用导数法,求出相应函数的最值,即可求实数a的取值范围.
解答:解:∵x>0,∴3x2+2ax-2xlnx+1≥0可化为
恒成立.(3分)
令
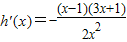
,则
(6分)
令h′(x)>0,∵x>0,∴0<x<1;
令h′(x)<0,∵x>0,∴x>1,
∴函数在(0,1)上单调递增,在(1,+∞)上单调递减
∴x=1时,h(x)取得最大值-2,( 10分)
∴a≥-2.
∴a的取值范围是[-2,+∞). (12分)
点评:本题考查导数知识的运用,考查恒成立问题,考查函数的最值,属于中档题.
解答:解:∵x>0,∴3x2+2ax-2xlnx+1≥0可化为
令
令h′(x)>0,∵x>0,∴0<x<1;
令h′(x)<0,∵x>0,∴x>1,
∴函数在(0,1)上单调递增,在(1,+∞)上单调递减
∴x=1时,h(x)取得最大值-2,( 10分)
∴a≥-2.
∴a的取值范围是[-2,+∞). (12分)
点评:本题考查导数知识的运用,考查恒成立问题,考查函数的最值,属于中档题.
练习册系列答案
相关题目