搜索
题目内容
在△ABC中,AC=
,BC=
,sin(A+B)=
。
(1)求△ABC的面积;
(2)求边AB的长。
试题答案
相关练习册答案
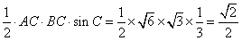
解:(1)
,
∴△ABC的面积为
。
(2)当
时,
;
当
时,
。
练习册系列答案
创新金卷毕业升学系列答案
创新课时训练系列答案
创新学案课时学练测系列答案
创新学习三级训练系列答案
创新与探究系列答案
达标测试卷系列答案
达标训练系列答案
打好基础课堂10分钟系列答案
大联考单元期末测试卷系列答案
大赢家考前巧复习系列答案
相关题目
如图,在△ABC中,AC=2,BC=1,
cosC=
3
4
.
(1)求AB的值;
(2)求sin(2A+C)的值.
在△ABC中,AC=
3
,∠A=45°,∠C=75°,则BC的长度是
.
如图,在△ABC中,AC=BC,AB=2,O为AB的中点,沿OC将△AOC折起到△A′OC的位置,使得直线A′B与平面ABC成30°角.
(1)若点A′到直线BC的距离为l,求二面角A′-BC-A的大小;
(2)若∠A′CB+∠OCB=π,求BC边的长.
在△ABC中,AC=2,BC=1,sinC=
3
5
,则AB的长为
.
对于平面直角坐标系内的任意两点A(x
1
,y
1
),B(x
2
,y
2
),A(x
1
,y
1
),B(x
2
,y
2
)定义它们之间的一种“距离”:||AB||=|x
2
-x
1
|+|y
2
-y
1
|.给出下列三个命题:
①若点C在线段AB上,则||AC||+||CB||=||AB||;
②在△ABC中,||AC||+||CB||>||AB||;
③在△ABC中,若∠A=90°,则||AB||
2
+||AC||
2
=||BC||
2
.
其中错误的个数为( )
A、0
B、1
C、2
D、3
关 闭
试题分类
高中
数学
英语
物理
化学
生物
地理
初中
数学
英语
物理
化学
生物
地理
小学
数学
英语
其他
阅读理解答案
已回答习题
未回答习题
题目汇总
试卷汇总
练习册解析答案