题目内容
已知圆C:(x-a)2+(y-2)2=4(a>0)及直线l:x-y+3=0,当直线l被C截得弦长为
【答案】分析:由题意可得圆心C(a,2)半径r=2,则圆心(a,2)到直线x-y+3=0得距离d=
=
,在Rt△CBM中由勾股定理可得,d2+BM2=BC2结合a>0可求
解答:解:由题意可得圆心C(a,2)半径r=2
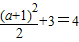
则圆心(a,2)到直线x-y+3=0的距离d=
=
Rt△CBM中由勾股定理可得,d2+BM2=BC2

∵a>0
∴
或a=
(舍去)
故答案为:

点评:本题主要考查了直线与圆相交的 弦的应用,出了此类问题一般有两个方法:①直接利用弦长公式求解,该方法思路清晰但需要一定的计算②利用本题中的解法,结合弦长及弦心距及半径三者之间的关系进行求解.
解答:解:由题意可得圆心C(a,2)半径r=2
则圆心(a,2)到直线x-y+3=0的距离d=
Rt△CBM中由勾股定理可得,d2+BM2=BC2
∵a>0
∴
故答案为:
点评:本题主要考查了直线与圆相交的 弦的应用,出了此类问题一般有两个方法:①直接利用弦长公式求解,该方法思路清晰但需要一定的计算②利用本题中的解法,结合弦长及弦心距及半径三者之间的关系进行求解.
练习册系列答案
相关题目
已知圆C:(x-a)2+(y-2)2=4(a>0)及直线l:x-y+3=0,当直线l被C截得弦长为2
时,则a等于( )
| 3 |
A、
| ||
B、2-
| ||
C、
| ||
D、
|