题目内容
已知sinα,sinβ是方程8x2-6kx+2k+1=0的两个根,且α、β的终边互相垂直,求k的值。
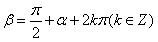
解:∵α,β的终边互相垂直,不妨设
,
∴sinβ=sin(α+
+2kπ)=cosα,
那么sinα,cosα是方程8x2-6kx+2k+1=0的两个根,
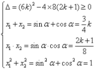
所以k应满足:
,
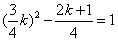
消去sinα,cosα,得9k2-16k-8≥0且
,
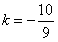
∴
。
∴sinβ=sin(α+
那么sinα,cosα是方程8x2-6kx+2k+1=0的两个根,
所以k应满足:
消去sinα,cosα,得9k2-16k-8≥0且
∴
练习册系列答案
相关题目