题目内容
已知函数f(x)=lnx,g(x)=(1)函数f(x)的图象在点(1,f(1))处的切线与g(x)的图象相切,求实数b的值;
(2)设h(x)=f(x)+g(x),若函数h(x)在定义域上存在单调减区间,求实数b 的取值范围;
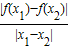
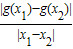
(3)若b>1,对于区间[1,2]上的任意两个不相等的实数x1,x2,都有|f(x1)-f(x2)|>|g(x1)-g(x2)|成立,求b的取值范围.
【答案】分析:(1)由f(x)求出其导函数,把切点的横坐标代入导函数中即可表示出切线的斜率,根据切点坐标和切线过原点写出切线方程,再和g(x)联立,利用根的判别求解即可.
(2)通过求h′(x),结合函数h(x)在定义域上存在单调减区间,转化为存在性问题求b的取值范围.
(3)要使得对于区间[1,2]上的任意两个不相等的实数x1,x2,都有|f(x1)-f(x2)|>|g(x1)-g(x2)|成立,即
>
,利用导数的几何是切线的斜率,得到对于区间[1,2]上的任意实数x,|f′(x)|>|g′(x)|,列出b的不等关系,从而得出b的取值范围.
解答:解:(1)f(x)=lnx得f′(x)=
,
函数f(x)的图象在点(1,f(1))处的切线的斜率为f′(1)=1,切线方程为:y-0=x-1即y=x-1.
由已知得它与g(x)的图象相切,将y=x-1代入得x-1=
x2-bx,即
x2-(b+1)x+1=0,
∴△=(b+1)2-2=0,解得b=
-1,
即实数b的值为
-1.
(2)h(x)=f(x)+g(x)=lnx+
x2-bx,
∴h′(x)=
+x-b,
根据函数h(x)在定义域(0,+∞)上存在单调减区间,
∴存在x>0,使得
+x-b<0,即b>
+x,
由于当x>0时,
+x≥2,
∴b>2.
∴实数b 的取值范围(2,+∞).
(3)对于区间[1,2]上的任意实数x,f′(x)=
∈[
,1].
g′(x)=x-b∈[1-b,2-b],
要使得对于区间[1,2]上的任意两个不相等的实数x1,x2,都有|f(x1)-f(x2)|>|g(x1)-g(x2)|成立,
若用注意到f(x)是增函数,不妨设x1>x2,则f(x1)>f(x2),问题转化为|f(x1)-f(x2)|>|g(x1)-g(x2)|
等价于-f(x1)+f(x2)<g(x1)-g(x2)<f(x1)-f(x2)从而f(x1)-g(x1)>f(x2)-g(x2)且f(x1)+g(x1)>f(x2)+g(x2),
即f(x)-g(x)与f(x)+g(x)都是增函数,
利用导数的几何是切线的斜率,得到|f′(x)|>|g′(x)|,
即
>|b-x|,于是x-
≤b≤x+
即(x-
)max≤b≤(x+
)min
∴
≤b≤2.
则b的取值范围[
,2].
点评:对于已知函数单调性,求参数范围问题的常见解法;设函数f(x)在(a,b)上可导,若f(x)在(a,b)上是增函数,则可得f′(x)≥0,从而建立了关于待求参数的不等式,同理,若f(x)在(a,b)上是减函数,则可得f′(x)≤0.
(2)通过求h′(x),结合函数h(x)在定义域上存在单调减区间,转化为存在性问题求b的取值范围.
(3)要使得对于区间[1,2]上的任意两个不相等的实数x1,x2,都有|f(x1)-f(x2)|>|g(x1)-g(x2)|成立,即
解答:解:(1)f(x)=lnx得f′(x)=
函数f(x)的图象在点(1,f(1))处的切线的斜率为f′(1)=1,切线方程为:y-0=x-1即y=x-1.
由已知得它与g(x)的图象相切,将y=x-1代入得x-1=
∴△=(b+1)2-2=0,解得b=
即实数b的值为
(2)h(x)=f(x)+g(x)=lnx+
∴h′(x)=
根据函数h(x)在定义域(0,+∞)上存在单调减区间,
∴存在x>0,使得
由于当x>0时,
∴b>2.
∴实数b 的取值范围(2,+∞).
(3)对于区间[1,2]上的任意实数x,f′(x)=
g′(x)=x-b∈[1-b,2-b],
要使得对于区间[1,2]上的任意两个不相等的实数x1,x2,都有|f(x1)-f(x2)|>|g(x1)-g(x2)|成立,
若用注意到f(x)是增函数,不妨设x1>x2,则f(x1)>f(x2),问题转化为|f(x1)-f(x2)|>|g(x1)-g(x2)|
等价于-f(x1)+f(x2)<g(x1)-g(x2)<f(x1)-f(x2)从而f(x1)-g(x1)>f(x2)-g(x2)且f(x1)+g(x1)>f(x2)+g(x2),
即f(x)-g(x)与f(x)+g(x)都是增函数,
利用导数的几何是切线的斜率,得到|f′(x)|>|g′(x)|,
即
∴
则b的取值范围[
点评:对于已知函数单调性,求参数范围问题的常见解法;设函数f(x)在(a,b)上可导,若f(x)在(a,b)上是增函数,则可得f′(x)≥0,从而建立了关于待求参数的不等式,同理,若f(x)在(a,b)上是减函数,则可得f′(x)≤0.
练习册系列答案
相关题目