题目内容
已知等比数列的公比为2,且前四项之和等于1,那么前八项之和等于 .
【答案】分析:先设出等比数列的首项,根据公比位,写出前四项之和以及前八项之和的表达式,再根据二者之间的关系结合公比为2即可求出结论.
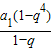
解答:解:设等比数列的首项为a1
∵公比q=2,
∴S4=
,
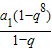
所以S8=
=
=S4×(1+q4)
=1×(1+24)=17.
故答案为:17.
点评:本题主要考查等比数列求和公式的应用.在解决本题的过程中,用到了整体代入的思想,当然本题也可以先利用公比以及前四项和求出首项,再代入求值.
解答:解:设等比数列的首项为a1
∵公比q=2,
∴S4=
所以S8=
=S4×(1+q4)
=1×(1+24)=17.
故答案为:17.
点评:本题主要考查等比数列求和公式的应用.在解决本题的过程中,用到了整体代入的思想,当然本题也可以先利用公比以及前四项和求出首项,再代入求值.
练习册系列答案
相关题目
已知等比数列的公比为2,且前四项之和等于1,那么前八项之和等于( )
| A、15 | B、21 | C、19 | D、17 |