题目内容

已知函数时有最大值2,求a的值.

 

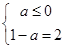
【答案】

.

【解析】

试题分析:由,可知函数图像开口向下,对称轴为直线,因此,为求函数时有最大值2,须讨论的三种情况,分别建立的方程.易错点在于讨论的取值范围不全面,解答此类问题的一般解法,是结合图象的“开口方向、对称轴位置以及与坐标轴的交点情况”.

试题解析:

,                                      1分

时,;                                           3分

时,;                                   5分

时,.                                        7分

根据已知条件:

解得.                                                10分

考点:二次函数

 

练习册系列答案
相关题目

违法和不良信息举报电话:027-86699610 举报邮箱:58377363@163.com

精英家教网