题目内容
已知△ABC的内角A、B、C的对边分别为a、b、c,若(Ⅰ) 求
(Ⅱ) 若b=2,且
【答案】分析:(1)把已知利用正弦定理进行化简,然后结合和差角公式及三角形的内角和定理化简即可求解
(2)由(1)sinC与sinA的关系可得c与a的关系,然后结合
,求cosB范围,由余弦定理b2=a2+c2-2accosB,可求
解答:解:(1)由正弦定理得
…(2分)
即(cosA-3cosC)sinB=(3sinC-sinA)cosB
化简可得sin(A+B)=3sin(B+C)…(4分)
又A+B+C=π,所以sinC=3sinA
因此
=3 …(6分)
(2)由(1)得
,可得c=3a①…(8分)
∵
,即
②…(10分)
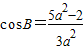
由余弦定理得b2=a2+c2-2accosB,把①代入可得
…(12分)
代入②式,解得
…(14分)
点评:本题主要考查了三角形的正弦定理、余弦定理及和差角公式的综合应用,解题的关键是熟练应用基本公式
(2)由(1)sinC与sinA的关系可得c与a的关系,然后结合
解答:解:(1)由正弦定理得
即(cosA-3cosC)sinB=(3sinC-sinA)cosB
化简可得sin(A+B)=3sin(B+C)…(4分)
又A+B+C=π,所以sinC=3sinA
因此
(2)由(1)得
∵
由余弦定理得b2=a2+c2-2accosB,把①代入可得
代入②式,解得
点评:本题主要考查了三角形的正弦定理、余弦定理及和差角公式的综合应用,解题的关键是熟练应用基本公式
练习册系列答案
相关题目