搜索
题目内容
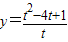
已知t>0,则函数
的最小值为
.
试题答案
相关练习册答案
【答案】
分析:
将函数
变为
-4,用基本不等式求解即可.
解答:
解:
,
当且仅当t=1时等号成立,
故y
min
=-2.
点评:
考查灵活变形的能力及基本不等式.
练习册系列答案
1加1阅读好卷系列答案
专项复习训练系列答案
初中语文教与学阅读系列答案
阅读快车系列答案
完形填空与阅读理解周秘计划系列答案
英语阅读理解150篇系列答案
奔腾英语系列答案
标准阅读系列答案
53English系列答案
考纲强化阅读系列答案
相关题目
已知t>0,则函数
的最小值为
.
已知t>0,则函数
的最小值为
.
已知t>0,则函数
的最小值为
.
已知t>0,则函数
的最小值为
.
已知t>0,则函数
的最小值为
.
关 闭
试题分类
高中
数学
英语
物理
化学
生物
地理
初中
数学
英语
物理
化学
生物
地理
小学
数学
英语
其他
阅读理解答案
已回答习题
未回答习题
题目汇总
试卷汇总
练习册解析答案