题目内容
已知不等式x2-2x-3<0的解集为A,不等式x2+x-6<0的解集是B.(1)求A∩B;
(2)若不等式x2+ax+b<0的解集是A∩B,求ax2+x+b<0的解集.
【答案】分析:(1)先解一元二次不等式化简集合A,B,再利用交集的定义求出这两个集合的交集即可;
(2)根据(1)中的A∩B,结合不等式与方程之间的关系得方程的两个根分别是-1,-2.最后利用根与系数的关系求得a,b.再解一个不等式即可.
解答:解:(1)解x2-2x-3<0得-1<x<3,所以A=(-1,3).(3分)
解x2+x-6<0得-3<x<2,
所以B=(-3,2).
∴A∩B=(-1,2).(6分)
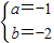
(2)由x2+ax+b<0的解集是(-1,2),
所以
,
解得
(9分)
∴-x2+x-2<0,解得解集为R.(12分)
点评:本题主要考查了交集及其运算,以及一元二次不等式的解法,属于基础题.解决时,首先要解决的问题是会解一元二次不等式.
(2)根据(1)中的A∩B,结合不等式与方程之间的关系得方程的两个根分别是-1,-2.最后利用根与系数的关系求得a,b.再解一个不等式即可.
解答:解:(1)解x2-2x-3<0得-1<x<3,所以A=(-1,3).(3分)
解x2+x-6<0得-3<x<2,
所以B=(-3,2).
∴A∩B=(-1,2).(6分)
(2)由x2+ax+b<0的解集是(-1,2),
所以
解得
∴-x2+x-2<0,解得解集为R.(12分)
点评:本题主要考查了交集及其运算,以及一元二次不等式的解法,属于基础题.解决时,首先要解决的问题是会解一元二次不等式.
练习册系列答案
相关题目