题目内容
在△ABC中,已知A=45°,(Ⅰ)求cosC的值;
(Ⅱ)若BC=10,D为AB的中点,求CD的长.
【答案】分析:(I)利用三角函数的平方故选求出角B的正弦;利用三角形的内角和为180°将角C用角B表示;利用两角差的余弦公式
求出cosC.
(II)利用三角函数的平方关系求出角C的正弦;利用三角函数的正弦定理求出边AB的长;利用三角形的余弦定理求出CD的长
解答:解:(Ⅰ)∵
,且B∈(0°,180°),∴
.(2分)
cosC=cos(180°-A-B)=cos(135°-B)(3分)
=
=
.(6分)
(Ⅱ)由(Ⅰ)可得
(8分)
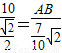
由正弦定理得
,即
,解得AB=14.(10分)
在△BCD中,BD=7,
,
所以
.(12分)
点评:本题考查三角函数的平方关系、考查两角和的余弦公式、考查三角形中的正弦定理、余弦定理.
求出cosC.
(II)利用三角函数的平方关系求出角C的正弦;利用三角函数的正弦定理求出边AB的长;利用三角形的余弦定理求出CD的长
解答:解:(Ⅰ)∵
cosC=cos(180°-A-B)=cos(135°-B)(3分)
=
(Ⅱ)由(Ⅰ)可得
由正弦定理得
在△BCD中,BD=7,
所以
点评:本题考查三角函数的平方关系、考查两角和的余弦公式、考查三角形中的正弦定理、余弦定理.
练习册系列答案
相关题目