题目内容
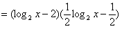
已知函数y=(log2x-2)(log4x-
),2≤x≤8。
(Ⅰ)令t=log2x,求y关于t的函数关系式,并写出的范围;
(Ⅱ)求该函数的值域。
(Ⅰ)令t=log2x,求y关于t的函数关系式,并写出的范围;
(Ⅱ)求该函数的值域。
解:(Ⅰ)![]()
,
令
,得
,
又
,
∴
,即
。
(Ⅱ)由(Ⅰ)得
,
,数形结合,
当
时,
;
当t=3时,
,
∴
,
即函数的值域为
。
练习册系列答案
相关题目
已知函数y=log(a2-1)(2x+1)在(-
,0)内恒有y>0,那么a的取值范围是( )
| 1 |
| 2 |
| A、a>1 | ||||
| B、0<a<1 | ||||
| C、a<-1或a>1 | ||||
D、-
|
已知函数y=log
(3x2-ax+5)在[-1,+∞)上是减函数,则实数a的取值范围是
[ ]
|
A.a≤-6 |
B.- |
|
C.-8<a≤-6 |
D.-8≤a≤-6 |