题目内容

编写程序,输出两个不相等的实数a、b的最大值.

分析:要输出两个不相等的实数a、b的最大值,从而想到对a,b的大小关系进行判断,a,b的大小关系有两种情况:(1)a>b;(2)b>a.这也就用到了我们经常提及的分类讨论的方式,找出两个数的最大值.

解:算法一:

第一步,输入a, b的数值.

第二步,判断a,b的大小关系,若a>b,则输出a的值,否则,输出b的值.

(程序框图如下图)

程序如下:(“IF—THEN—ELSE”语句)

INPUT “a,b”;a,b

IF  a>b  THEN

  PRINT  a

ELSE

  PRINT b

END IF

END

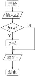
算法二:

第一步,输入a,b的数值.

第二步,判断a,b的大小关系,若b>a,则将b的值赋予a;否则,直接执行第三步.

第三步,输出a的值,结束.

(程序框图如下图)

程序如下:(“IF—THEN”语句)

INPUT “a,b”;a,b

IF  b>a  THEN

  a=b

END IF

PRINT  a

END

点评:设计一个“好”的算法需要在大量的算法设计中积累经验.我们也可以先根据自己的思路设计算法,再与 “成形”的、高效的、优秀的算法比较,改进思路,改进算法,以避免重复计算等问题,提高算法设计的水平.

(2)我们在平常的训练中尽可能地少引用变量,过多的变量不仅会使得算法和程序变得复杂,而且不利于计算机的执行.为此,我们在练习中要尽可能少引入变量并且要积极思考才能少引入变量.

练习册系列答案
相关题目

违法和不良信息举报电话:027-86699610 举报邮箱:58377363@163.com

精英家教网