题目内容
题干
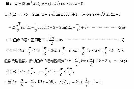
(本小题满分14分)
当,即时,………………………14分
已知焦点在轴上,中心在坐标原点的椭圆C的离心率为,且过点(题干自编)
(I)求椭圆C的方程;
(II)直线分别切椭圆C与圆(其中)于两点,求的最大值。