题目内容
已知数列
的前n项和
=
-2n+1,则通项公式
=![]()
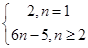
【答案】
![]()
![]()
【解析】
试题分析:n=1时,a1=S1=2;当
时,![]()
-2n+1-[
-2(n-1)+1]=6n-5, a1=2不满足
,所以数列
的通项公式为![]()
.
考点:1.数列的前n项和;2.数列的通项公式.
练习册系列答案
相关题目