题目内容
设等差数列{an}的公差d≠0,数列{bn}为等比数列,若a1=b1=a,a3=b3,a7=b5(1)求数列{bn}的公比q;
(2)若an=bm,n,m∈N*,求n与m之间的关系;
(3)将数列{an},{bn}中的公共项按由小到大的顺序排列组成一个新的数列{cn},是否存在正整数p,q,r(p<q<r)使得p,q,r和cp+p,cq+q,cr+r均成等差数列?说明理由.
【答案】分析:(1)依题意,通过解方程组
即可求得数列{bn}的公比q;
(2)由an=bn可求得d=
,代入整理有n+1=(±1)m-1•
,可分析(±1)m-1>0,从而可得n与m之间的关系;
(3)设an=bn,令m=2k-1(k∈N*),可求得bm=a•2k-1,令cn=2n-1a,若存在正整数p、q、r(p<q<r)满足题意
,由基本不等式可得出矛盾,从而可得结论.
解答:解:(1)设{bn}的公比为q,由题意
即
--------------------------------------------(2分)
q=1不合题意,故
=
,解得q2=2,
∴q=±
----------------(4分)
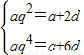
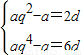
(2)由an=bn得:a+(n-1)d=aqn-1,又2d=aq2-a=a,
∴d=
------------------(6分)
∴1+
=
即n+1=(±1)m-1•
--------------------------(8分)
∵n+1∈N*,
∴(±1)m-1>0,
∴m为奇数,且n=
-1,-------(10分)
(3)若{an}与{bn}有公共项,不妨设an=bn,
由(2)知:m为奇数,且n=
-1,
令m=2k-1(k∈N*),则bm=a•
=a•2k-1,
∴cn=2n-1a---------------------------------------------------------------(12分)
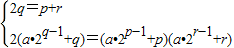
若存在正整数p、q、r(p<q<r)满足题意,则
∴2q=2p-1+2r-1,又2p-1+2r-1≥2
=
(当且仅当p=r时取“=”)
又∵p≠r,
∴2p-1+2r-1>
----------------------(14分)
又y=2x在R上增,
∴q>
.与题设q=
矛盾,
∴不存在p、q、r满足题意.---------------------------------------------------(16分)
点评:本题考查等差数列的通项公式与等比数列的通项公式的综合应用,考查方程思想与化归思想的综合运用,突出抽象思维与逻辑推理能力的考查,属于难题.
(2)由an=bn可求得d=
(3)设an=bn,令m=2k-1(k∈N*),可求得bm=a•2k-1,令cn=2n-1a,若存在正整数p、q、r(p<q<r)满足题意
解答:解:(1)设{bn}的公比为q,由题意
q=1不合题意,故
∴q=±
(2)由an=bn得:a+(n-1)d=aqn-1,又2d=aq2-a=a,
∴d=
∴1+
∵n+1∈N*,
∴(±1)m-1>0,
∴m为奇数,且n=
(3)若{an}与{bn}有公共项,不妨设an=bn,
由(2)知:m为奇数,且n=
令m=2k-1(k∈N*),则bm=a•
∴cn=2n-1a---------------------------------------------------------------(12分)
若存在正整数p、q、r(p<q<r)满足题意,则
∴2q=2p-1+2r-1,又2p-1+2r-1≥2
又∵p≠r,
∴2p-1+2r-1>
又y=2x在R上增,
∴q>
∴不存在p、q、r满足题意.---------------------------------------------------(16分)
点评:本题考查等差数列的通项公式与等比数列的通项公式的综合应用,考查方程思想与化归思想的综合运用,突出抽象思维与逻辑推理能力的考查,属于难题.
练习册系列答案
相关题目