题目内容
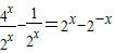
f(x)=A.原点对称
B.直线y=x对称
C.直线y=-x对称
D.y轴对称
【答案】分析:先判断函数的定义域,然后利用函数奇偶性的定义进行判断.
解答:解:因为函数的定义域为R,所以定义域关于原点对称.
f(x)=
=
,
则f(-x)=2-x-2x=-(2x-2-x)=-f(x),即函数f(x)为奇函数.
故函数f(x)的图象关于原点对称.
故选A.
点评:本题主要考查函数奇偶性的判断以及函数奇偶性的图象关系,将函数进行化简是解决本题的关键.
解答:解:因为函数的定义域为R,所以定义域关于原点对称.
f(x)=
则f(-x)=2-x-2x=-(2x-2-x)=-f(x),即函数f(x)为奇函数.
故函数f(x)的图象关于原点对称.
故选A.
点评:本题主要考查函数奇偶性的判断以及函数奇偶性的图象关系,将函数进行化简是解决本题的关键.
练习册系列答案
相关题目