题目内容
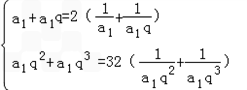
已知{an}是各项均为正数的等比数列,且
(1)求{an}的通项公式;
(2)设bn=an2+log2an,求数列{bn}的前n项和Tn.
(1)求{an}的通项公式;
(2)设bn=an2+log2an,求数列{bn}的前n项和Tn.
解:(1)设等比数列{an}的公比为q,则an=a1qn﹣1,由已知得:
,
化简得:
,
即
,
又a1>0,q>0,
解得:
,
∴an=2n﹣1;
(2)由(1)知bn=an2+log2an=4n﹣1+(n﹣1)
∴Tn=(1+4+42+…+4n-1)+(1+2+3+…+n﹣1)
=
+
=
+
.
化简得:
即
又a1>0,q>0,
解得:
∴an=2n﹣1;
(2)由(1)知bn=an2+log2an=4n﹣1+(n﹣1)
∴Tn=(1+4+42+…+4n-1)+(1+2+3+…+n﹣1)
=
=
练习册系列答案
相关题目