题目内容
已知正项等差数列{an}的前n项和为Sn,且满足
,S7=56。
(Ⅰ)求数列{an}的通项公式an;
(Ⅱ)若数列{bn}满足b1=a1且bn+1-bn=an+1,求数列
的前n项和Tn。
(Ⅰ)求数列{an}的通项公式an;
(Ⅱ)若数列{bn}满足b1=a1且bn+1-bn=an+1,求数列
解:(Ⅰ)∵{an}是等差数列且
,
∴
,
又∵
,
∴
,
∵
,
∴
,
∴
,
∴
;
(Ⅱ)∵
且
,
∴
当n≥2时,
,
当n=1时,
满足上式,
,
∴
,
∴
。
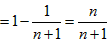
∴
又∵
∴
∵
∴
∴
∴
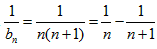
(Ⅱ)∵
∴
当n≥2时,
当n=1时,
∴
∴
练习册系列答案
相关题目
已知正项等差数列{an}的前20项和为100,则a5•a16的最大值是( )
| A、100 | B、75 | C、25 | D、50 |
已知正项等差数列{an}的前20项的和为100,那么a7a14的最大值为( )
| A、75 | B、100 | C、50 | D、25 |