题目内容
等差数列{an}中,a2=9,a5=33,{an}的公差为 .
【答案】分析:由题设知
,由此能求出公差d的值.
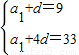
解答:解:∵等差数列{an}中,a2=9,a5=33,
∴
,
解得a1=1,d=8.
故答案为:8.
点评:本题考查等差数列的性质和应用,解题时要注意等差数列通项公式的合理运用.
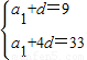
解答:解:∵等差数列{an}中,a2=9,a5=33,
∴
解得a1=1,d=8.
故答案为:8.
点评:本题考查等差数列的性质和应用,解题时要注意等差数列通项公式的合理运用.
练习册系列答案
相关题目