题目内容
若椭圆C1:(1)求抛物线C2的方程;
(2)求过点M(-1,0)的直线l与抛物线C2交E、F两点,又过E、F作抛物线C2的切线l1、l2,当l1⊥l2时,求直线l的方程.
【答案】分析:(1)根据长半轴是2求出a的值,再表示出半焦距c,根据离心率的值求出b的值,从而可得到抛物线的焦点坐标,得到抛物线的标准方程.
(2)先根据题意设出直线l的方程和点E、F的坐标,然后对抛物线方程进行求导运算,进而得到切线l1,l2的斜率,根据l1⊥l2可得到x1•x2的值,再联立直线l与抛物线方程消去y得到关于x的一元二次方程,进而可表示出两根之积,再结合x1•x2的值可确定k的值,最后将k的值代入到直线方程即可得到答案.
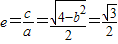
解答:解:(1)已知椭圆的长半轴为2,半焦距
由离心率等于
∴b2=1∴椭圆的上顶点(0,1)∴抛物线的焦点为(0,1)
∴抛物线的方程为x2=4y
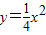
(2)由已知,直线l的斜率必存在,设直线l的方程为y=k(x+1),E(x1,y1),F(x2,y2),
,∴
,
∴切线l1,l2的斜率分别为
当l1⊥l2时,
,即x1•x2=-4
由
得:x2-4kx-4k=0
∴△=(4k)2-4×(-4k)>0解得k<-1或k>0①
∴x1•x2=-4k=-4,即:k=1
此时k=1满足①
∴直线l的方程为x-y+1=0
点评:本题主要考查椭圆、抛物线的基本性质和直线与抛物线的综合问题.考查对基础知识的综合运用.
(2)先根据题意设出直线l的方程和点E、F的坐标,然后对抛物线方程进行求导运算,进而得到切线l1,l2的斜率,根据l1⊥l2可得到x1•x2的值,再联立直线l与抛物线方程消去y得到关于x的一元二次方程,进而可表示出两根之积,再结合x1•x2的值可确定k的值,最后将k的值代入到直线方程即可得到答案.
解答:解:(1)已知椭圆的长半轴为2,半焦距
由离心率等于
∴b2=1∴椭圆的上顶点(0,1)∴抛物线的焦点为(0,1)
∴抛物线的方程为x2=4y
(2)由已知,直线l的斜率必存在,设直线l的方程为y=k(x+1),E(x1,y1),F(x2,y2),
∴切线l1,l2的斜率分别为
当l1⊥l2时,
由
∴△=(4k)2-4×(-4k)>0解得k<-1或k>0①
∴x1•x2=-4k=-4,即:k=1
此时k=1满足①
∴直线l的方程为x-y+1=0
点评:本题主要考查椭圆、抛物线的基本性质和直线与抛物线的综合问题.考查对基础知识的综合运用.
练习册系列答案
相关题目