题目内容
已知数列{an}满足
,
。
(Ⅰ)求数列{an}的通项公式;
(Ⅱ)设
,求{bn}的前n项和Sn;
(Ⅲ)设
,数列{cn}的前n项和Tn,求证:对
。
(Ⅰ)求数列{an}的通项公式;
(Ⅱ)设
(Ⅲ)设
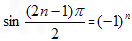
解:(Ⅰ)∵
,
∴
,
又∵
,
∴数列
是首项为3,公比为-2的等比数列,
,
即
。
(Ⅱ)
,
。
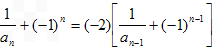
(Ⅲ)∵
,
∴
,
当n≥3时,

=
又∵
,
∴对
。
∴
又∵
∴数列
即
(Ⅱ)
(Ⅲ)∵
∴
当n≥3时,
=
又∵
∴对
练习册系列答案
相关题目