题目内容

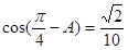
已知△ABC的三内角A,B,C所对三边分别为a,b,c,且

(Ⅰ)求sinA的值;

(Ⅱ)若△ABC的面积S=12,b=6,求a的值.

 

【答案】

(Ⅰ).(Ⅱ).

【解析】

试题分析:(Ⅰ)由 结合

解得.                6分

(Ⅱ)根据,及又,解得

应用余弦定理即可得到.

试题解析:(Ⅰ)由

所以               3分

解得                6分

(Ⅱ),又,解得,        8分

        9分

        11分

.                     12分

考点:同角公式、两角和差的三角函数,余弦定理的应用.

 

练习册系列答案
相关题目

违法和不良信息举报电话:027-86699610 举报邮箱:58377363@163.com

精英家教网