题目内容
若函数f(x)在定义域上存在不相等的实数x1、x2,使得A.f(x)=x2
B.f(x)=2x
C.f(x)=tan
D.
【答案】分析:选项A可以用反证法;选项B和D可借助于图象直观说明;选项D取值验证即可.
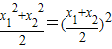
解答:解:若f(x)=x2为和谐函数,则存在x1≠x2,使得
,即
,所以有
,x1=x2,与x1≠x2矛盾,所以A不正确;
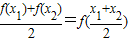
等式
是指若点(x1,y1),(x2,y2)在一个函数图象上,它们的中点也在这个函数图象上,
由指数函数f(x)=2x和对数函数
的图象如图可知,两函数图象上不存在两点满足上面等式,所以B、D不正确;
对于C,取
,
,则有
,所以函数f(x)=tanx为和谐函数.
故选C.
点评:本题考查了进行简单的演绎推理,考查了反证法和特殊值法,考查了学生对指数函数和对数函数图的理解与掌握.
解答:解:若f(x)=x2为和谐函数,则存在x1≠x2,使得
等式
由指数函数f(x)=2x和对数函数
对于C,取
故选C.
点评:本题考查了进行简单的演绎推理,考查了反证法和特殊值法,考查了学生对指数函数和对数函数图的理解与掌握.
练习册系列答案
相关题目