题目内容
有四个数,前三个成等差数列,后三个成等比数列,首尾两数的和是7,中间两数的和是6,求这四个数.
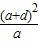
【答案】分析:根据等差中项和等比中项的定义,设所求的四个数分别为a-d、a、a+d和
,建立关于a、d的方程组可得
等差数列的公差d和中项a,从而得到所求的四个数.
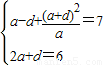
解答:解:依题意,设所求的四个数分别为a-d、a、a+d和
,
则
,解之得
或
①当a=4,d=
时,所求的四个数为6、4、2和1;
②当a=
,d=
时,所求的四个数为
、
、
和
.
综上所述,可得所求的四个数为6、4、2和1或
、
、
和
.
点评:本题给出前三个数成等差、后三个数成等比的四个数,已知首尾两个数的和与中间两个数的和,求这四个数.着重考查了等差数列、等比数列的通项公式和方程组的解法等知识,属于中档题.
等差数列的公差d和中项a,从而得到所求的四个数.
解答:解:依题意,设所求的四个数分别为a-d、a、a+d和
则
①当a=4,d=
②当a=
综上所述,可得所求的四个数为6、4、2和1或
点评:本题给出前三个数成等差、后三个数成等比的四个数,已知首尾两个数的和与中间两个数的和,求这四个数.着重考查了等差数列、等比数列的通项公式和方程组的解法等知识,属于中档题.
练习册系列答案
相关题目