题目内容
设x,y满足约束条件A.
B.
C.
D.4
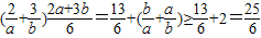
【答案】分析:已知2a+3b=6,求
的最小值,可以作出不等式的平面区域,先用乘积进而用基本不等式解答.
解答:
解:不等式表示的平面区域如图所示阴影部分,
当直线ax+by=z(a>0,b>0)
过直线x-y+2=0与直线3x-y-6=0的交点(4,6)时,
目标函数z=ax+by(a>0,b>0)取得最大12,
即4a+6b=12,即2a+3b=6,而
=
,
故选A.
点评:本题综合地考查了线性规划问题和由基本不等式求函数的最值问题.要求能准确地画出不等式表示的平面区域,并且能够求得目标函数的最值.
解答:
当直线ax+by=z(a>0,b>0)
过直线x-y+2=0与直线3x-y-6=0的交点(4,6)时,
目标函数z=ax+by(a>0,b>0)取得最大12,
即4a+6b=12,即2a+3b=6,而
故选A.
点评:本题综合地考查了线性规划问题和由基本不等式求函数的最值问题.要求能准确地画出不等式表示的平面区域,并且能够求得目标函数的最值.
练习册系列答案
相关题目