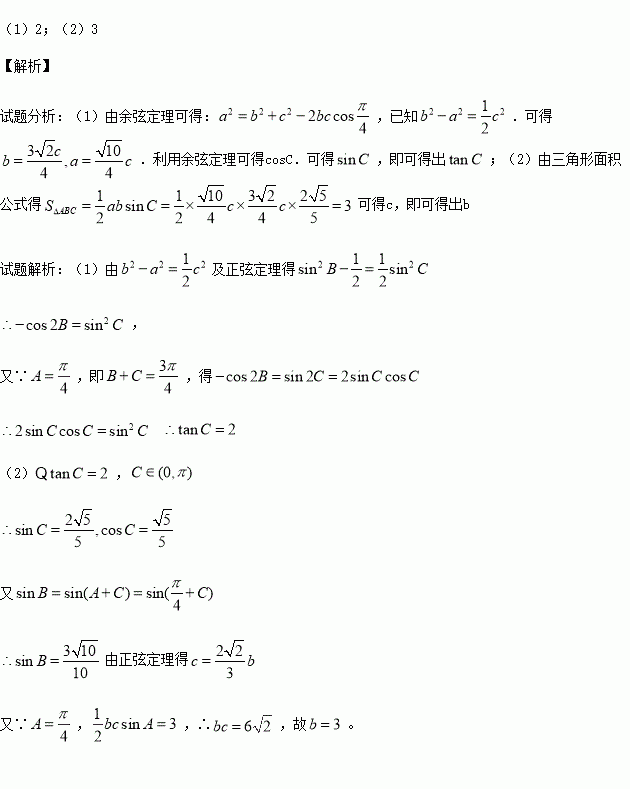
题目内容
在中,内角,,所对的边分别为,,,已知,=.
(1)求的值;
(2)若的面积为3,求的值.
某几何体的三视图如右图,若该几何体的所有顶点都在一个球面上,则该球面的表面积为( )
A. B. C. D.
若不等式的解集是,则以下结论中:①;②;③;④;⑤,正确是( )
A.①②⑤ B.①③⑤ C.②③⑤ D.③④⑤
如图是某考生的分数的茎叶统计图,该组数据的中位数和众数依次为( )
A.86,84 B.84,84 C.84,86 D.85,86
计算:_________.
设命题p:(4x-3)2≤1;命题q:x2-(2a+1)x+a(a+1)≤0,若p是q的必要不充分条件,求实数a的取值范围.
已知函数图像上的一个最低点为A,离A
最近的两个最高点分别为B与C,则( )
已知函数,方程恰有3个不同实根,则实数a的取值范
围是( )
《九章算术》之后,人们进一步用等差数列求和公式来解决更多的问题,《张丘建算经》卷上第22题为:“今有女善织,日益功疾(注:从第2天开始,每天比前一天多织相同量的布),第一天织5尺布,现在一月(按30天计),共织390尺布”,则从第2天起每天比前一天多织( )尺布.