题目内容

已知函数.

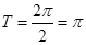
(Ⅰ)求的最小正周期;

(Ⅱ)若处取得最大值,求的值;

(Ⅲ)求的单调递增区间.

 

【答案】

(Ⅰ);(Ⅱ)  ;(Ⅲ) .

【解析】

试题分析:(Ⅰ)先根据和角公式以及二倍角公式化简函数:,得到函数,再根据求函数的最小正周期;(Ⅱ)先根据(Ⅰ)中的化简结果求出的解析式,然后结合三角函数的图像与性质求得取最大值时对应的的值,再将代入求出适合范围内的的值;(Ⅲ)根据(Ⅱ)的求解先写出的解析式,结合三角函数的图像与性质得出,解出的的取值范围即是所求的单调增区间.

试题解析:(Ⅰ)

                        2分

所以.                                4分

(Ⅱ)      5分

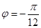
时取得最大值,将代入上式,

解得,                  6分

.                 8分

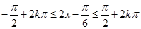
(Ⅲ)由(Ⅱ)知,,              9分

,             10分

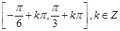
解得,                    

∴函数的单调递增区间为:.          12分 

考点:1.三角函数的图像与性质;2.三角函数的单调性;3.三角函数的最值;4.和角公式;5.二倍角公式

 

练习册系列答案
相关题目

违法和不良信息举报电话:027-86699610 举报邮箱:58377363@163.com

精英家教网