题目内容
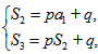
设数列{an}的前n项和为Sn,已知Sn+1=pSn+q(p,q为常数,n∈N*),a1=2,a2=1,a3=q-3p。
(Ⅰ)求数列{an}的通项公式;
(Ⅱ)是否存在正整数m,n,使
成立?若存在,求出所有符合条件的有序实数对(m,n);若不存在,说明理由。
(Ⅰ)求数列{an}的通项公式;
(Ⅱ)是否存在正整数m,n,使
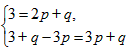
解:(Ⅰ)由题意,知
,即
,
解之得
,
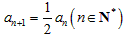
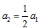
由⑴知,
,①
当
时,
,②
①-②得,
,
又
,
所以
,
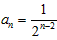
所以
是首项为2,公比为
的等比数列,
所以
;
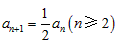
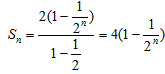
(Ⅱ)由⑵得,
,
由
,得
,
即
,
即
,
因为
,
所以
,
所以m<4,
且![]()
因为
,
所以m=1或2或3,
当m=1时,由(*)得,
,所以n=1;
当m=2时,由(*)得,
,所以n=1或2;
当m=3时,由(*)得,
,所以n=2或3或4,
综上可知,存在符合条件的所有有序实数对为:
。
练习册系列答案
相关题目