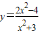
题目内容
函数A.
B.
C.
D.
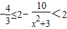
【答案】分析:由于
=
=
,结合x2+3≥3可得
,从而可求函数的值域.
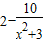
解答:解:∵
=
=
又∵x2+3≥3
∴
∴
函数的值域为:
故选D
点评:本题主要考查了形如
的函数的值域的求解,长用分类系数法进行求解,解题中要注意由x2+3≥3
得
时容易漏掉>0这一条件的考虑.
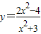
解答:解:∵
又∵x2+3≥3
∴
∴
函数的值域为:
故选D
点评:本题主要考查了形如
得
练习册系列答案
相关题目