题目内容
已知椭圆E:(Ⅰ)求椭圆E的方程;
(Ⅱ)设椭圆E的上下顶点分别为A1,A2,P是椭圆上异于A1,A2的任一点,直线PA1,PA2分别交x轴于点N,M,若直线OT与过点M,N的圆G相切,切点为T.证明:线段OT的长为定值,并求出该定值.
【答案】分析:(Ⅰ)解法一:根据椭圆E:
的一个交点为
,过点
,可得a2-b2=3,
,联立即可求得椭圆E的方程;
解法二:椭圆的两个焦点分别为
,利用椭圆的定义,可求椭圆E的方程;
(Ⅱ)解法一:由(Ⅰ)可知A1(0,1),A2(0,-1),设P(x,y),求出
,同
设圆G的圆心为
,利用
,即可得到线段OT的长度;
解法二:由(Ⅰ)可知A1(0,1),A2(0,-1),设P(x,y),求出
,
,可得
,由切割线定理可得线段OT的长度.
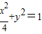
解答:(Ⅰ)解法一:由题意,∵椭圆E:
的一个交点为
,
∴a2-b2=3,①
∵椭圆过点
.
∴
,②
①②解得a2=4,b2=1,
所以椭圆E的方程为
.…(4分)
解法二:椭圆的两个焦点分别为
,
由椭圆的定义可得
,所以a=2,b2=1,
所以椭圆E的方程为
.…(4分)
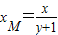
(Ⅱ)解法一:由(Ⅰ)可知A1(0,1),A2(0,-1),设P(x,y),
直线PA1:
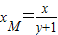
,令y=0,得
;
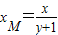
直线PA2:
,令y=0,得
;
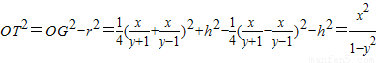
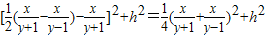
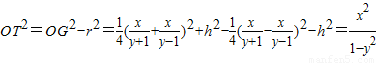
设圆G的圆心为
,
则r2=
,


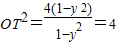
而
,所以
,所以
,
所以|OT|=2,即线段OT的长度为定值2.…(14分)
解法二:由(Ⅰ)可知A1(0,1),A2(0,-1),设P(x,y),
直线PA1:
,令y=0,得
;
直线PA2:
,令y=0,得
;
则
,而
,所以
,
所以
,由切割线定理得OT2=|OM|•|ON|=4
所以|OT|=2,即线段OT的长度为定值2.…(14分)
点评:本题考查椭圆的标准方程,考查圆与椭圆为综合,考查线段长的求解,认真审题,挖掘隐含是关键.
解法二:椭圆的两个焦点分别为
(Ⅱ)解法一:由(Ⅰ)可知A1(0,1),A2(0,-1),设P(x,y),求出
设圆G的圆心为
解法二:由(Ⅰ)可知A1(0,1),A2(0,-1),设P(x,y),求出
解答:(Ⅰ)解法一:由题意,∵椭圆E:
∴a2-b2=3,①
∵椭圆过点
∴
①②解得a2=4,b2=1,
所以椭圆E的方程为
解法二:椭圆的两个焦点分别为
由椭圆的定义可得
所以椭圆E的方程为
(Ⅱ)解法一:由(Ⅰ)可知A1(0,1),A2(0,-1),设P(x,y),
直线PA1:
直线PA2:
设圆G的圆心为
则r2=
而
所以|OT|=2,即线段OT的长度为定值2.…(14分)
解法二:由(Ⅰ)可知A1(0,1),A2(0,-1),设P(x,y),
直线PA1:
直线PA2:
则
所以
所以|OT|=2,即线段OT的长度为定值2.…(14分)
点评:本题考查椭圆的标准方程,考查圆与椭圆为综合,考查线段长的求解,认真审题,挖掘隐含是关键.
练习册系列答案
相关题目