题目内容
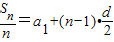
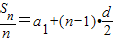
若等差数列{an}的首项为a1,公差为d,前n项的和为Sn,则数列
【答案】分析:仔细分析数列
为等差数列,且通项为
的特点,类比可写出对应数列{
}为等比数列的通项公式.
解答:解:因为在等差数列{an}中前n项的和为Sn的通项,且写成了
.
所以在等比数列{bn}中应研究前n项的积为Tn的开n方的形式,等差数列中的求和类比等比数列中的乘积,
类比可得:数列{
}为等比数列,通项为
=b1
.
故答案为:数列{
}为等比数列,通项为
=b1
.
点评:本小题主要考查等差数列、等比数列以及类比推理的思想等基础知识.在运用类比推理时,通常等差数列中的求和类比等比数列中的乘积.
解答:解:因为在等差数列{an}中前n项的和为Sn的通项,且写成了
所以在等比数列{bn}中应研究前n项的积为Tn的开n方的形式,等差数列中的求和类比等比数列中的乘积,
类比可得:数列{
故答案为:数列{
点评:本小题主要考查等差数列、等比数列以及类比推理的思想等基础知识.在运用类比推理时,通常等差数列中的求和类比等比数列中的乘积.
练习册系列答案
相关题目