题目内容
已知a为实数,函数f(x)=(1+ax)ex,函数(1)若a=1,求函数f(x)的极小值;
(2)当
(3)当a<0时,求函数F(x)的单调区间.
【答案】分析:(1)a=1代入f(x),对其进行求导,得到极值点,利用导数研究函数的单调性问题;
(2)把a=-
代入f(x)和g(x),从而得到F(x),再代入不等式F(x)<1进行求解;
(3)求导数F′(x),在定义域内解不等式F′(x)>0,F′(x)<0,分a
,a=
,-
a<0,三种情况进行讨论即可解得,由导数与函数单调性关系即得单调区间
解答:(1)由f'(x)=ex+(1+x)ex=0得x=-2,
当x<-2时,f'(x)<0,f(x)在(-∞,-2)上单调递减,
当x>-2时,f'(x)>0,f(x)在(-2,+∞)上单调递增,
所以函数f(x)的最小值为f(-2)=-e-2;
(2)当a=-
时F(x)=
<1,即
设m(x)=
,则m(0)=0,
<0
所以m(x)的单调递减区间是(-∞,-2)和(-2,+∞),
而当x<-2时,总有
成立,
所以不等式F(x)<1的解集是(-∞,-2)∪(0,+∞).
(3)
,定义域为{x|
}
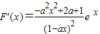
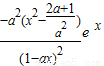
则
=
,令F′(x)=0,得
(a<0)
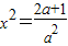
①当2a+1<0,即
时,F′(x)<0
则当
时,函数F(x)的单调递减区间是(-∞,
)和(
,+∞).
②当2a+1=0,即
时,由(2)知,函数F(x)的单调递减区间是(-∞,-2)和(-2,+∞).
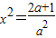
③当2a+1>0,即
时,解
得到
,
∵
,∴令F′(x)<0,得到x∈(-∞,
),x∈(
,
),x∈
;
令F′(x)>0,得到x∈(
,
).
则当
时,函数F(x)的单调递减区间是(-∞,
),(
,
),
;
函数F(x)的单调递增区间是(
,
).
点评:此题主要考查利用导数研究函数单调性问题,考查分类讨论思想,属中档题.
(2)把a=-
(3)求导数F′(x),在定义域内解不等式F′(x)>0,F′(x)<0,分a
解答:(1)由f'(x)=ex+(1+x)ex=0得x=-2,
当x<-2时,f'(x)<0,f(x)在(-∞,-2)上单调递减,
当x>-2时,f'(x)>0,f(x)在(-2,+∞)上单调递增,
所以函数f(x)的最小值为f(-2)=-e-2;
(2)当a=-
设m(x)=
所以m(x)的单调递减区间是(-∞,-2)和(-2,+∞),
而当x<-2时,总有
所以不等式F(x)<1的解集是(-∞,-2)∪(0,+∞).
(3)
则
①当2a+1<0,即
则当
②当2a+1=0,即
③当2a+1>0,即
∵
令F′(x)>0,得到x∈(
则当
函数F(x)的单调递增区间是(
点评:此题主要考查利用导数研究函数单调性问题,考查分类讨论思想,属中档题.
练习册系列答案
相关题目