题目内容
已知等差数列{an}的首项a1=1,公差d>0,且第二项,第五项,第十四项分别是等比数列{bn}的第二项,第三项,第四项.(1)求数列{an}与{bn}的通项公式;
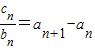
(2)设数列{cn}对任意自然数n,均有
【答案】分析:(1)利用等差数列的通项公式将第二项,第五项,第十四项用{an}的首项与公差表示,再据此三项成等比数列,列出方程,求出公差,利用等差数列及等比数列的通项公式求出数列{an}与{bn}的通项公式.
(2)利用数列的第n项等于前n项和减去前n-1项的和求出
,进一步求出cn,利用等比数列的前n项和公式求出从第二项开始到第n项的和再加上首项3.
解答:解:(1)由题意得(a1+d)(a1+13d)=(a1+4d)2(d>0)
解得d=2,
∴an=2n-1,bn=3n-1(5分)
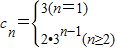
(2)当n=1时,c1=3;当n≥2时,
,
cn=2•3n-1,
(10分)
∴c1+c2+…+c2006=3+2×3+2×32+…+2×32005=32006(14分)
点评:求数列的前n项和,关键先求出数列的通项,判断出通项的特点,再选择合适的求和方法.
(2)利用数列的第n项等于前n项和减去前n-1项的和求出
解答:解:(1)由题意得(a1+d)(a1+13d)=(a1+4d)2(d>0)
解得d=2,
∴an=2n-1,bn=3n-1(5分)
(2)当n=1时,c1=3;当n≥2时,
cn=2•3n-1,
∴c1+c2+…+c2006=3+2×3+2×32+…+2×32005=32006(14分)
点评:求数列的前n项和,关键先求出数列的通项,判断出通项的特点,再选择合适的求和方法.
练习册系列答案
相关题目