题目内容
已知函数f(x)=x2+2x,g(x)=-x2+2x。
(1)解不等式:g(x)≥f(x)-|x-1|;
(2)若h(x)=g(x)-λf(x)+1在[-1,1]上是增函数,求实数λ的取值范围;
(3)若g(x)≤m2-2mp+1对所有x∈R,p∈[-1,1]恒成立,求实数m的取值范围。
(1)解不等式:g(x)≥f(x)-|x-1|;
(2)若h(x)=g(x)-λf(x)+1在[-1,1]上是增函数,求实数λ的取值范围;
(3)若g(x)≤m2-2mp+1对所有x∈R,p∈[-1,1]恒成立,求实数m的取值范围。
解:(1)g(x)≥f(x)-|x-1|
-x2+2x≥x2+2x-|x-1|
-2x2+|x-1|≥0,![]()
或
,
解得:x∈[-1,
]。
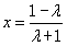
(2)h(x)=g(x)-λf(x)+1=-x2+2x-λ(x2+2x)+1=-(λ+1)x2+2(1-λ)x+1,在[-1,1]单调递增,
①λ+1=0,∴λ=-1时,h(x)=4x+1单调递增;
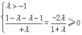
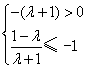
②λ+1≠0时,对轴称
,
![]()
,解得:λ<-1
或![]()
![]()
,解得:-1<λ≤0,
∴λ≤0。
(3)g(x)=-x2+2x≤m2-2mp+1,对
x∈R,p∈[-1,1]恒成立
m2-2mp+1≥(-x2+2x)max=-((x-1)2+1)max=1
m2-2mp≥0,
令f(p)=-2mp+m2,
则
或
,
∴
。
练习册系列答案
相关题目