题目内容
已知点F是抛物线C:y2=x的焦点,S是抛物线C在第一象限内的点,且|SF|=(Ⅰ)求点S的坐标;
(Ⅱ)以S为圆心的动圆与x轴分别交于两点A、B,延长SA、SB分别交抛物线C于M、N两点;
①判断直线MN的斜率是否为定值,并说明理由;
②延长NM交x轴于点E,若|EM|=
【答案】分析:(Ⅰ)设S(x,y)(y>0),由已知得F
,则|SF|=
,由此能求出点S的坐标.
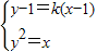
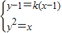
(Ⅱ)①设直线SA的方程为y-1=k(x-1)(k≠0),M(x1,y1),由
,得ky2-y+1-k=0,所以
.由已知SA=SB,知直线SB的斜率为-k,由此能导出直线MN的斜率为定值-
.
②设E(t,0),由|EM|=
|NE|,知k=2.所以直线SA的方程为y=2x-1,则
,同理
.由此能求出cos∠MSN的值.
解答:解:(Ⅰ)设S(x,y)(y>0),由已知得F
,则|SF|=
,
∴y=1,∴点S的坐标是(1,1)------------------------(2分)
(Ⅱ)①设直线SA的方程为y-1=k(x-1)(k≠0),M(x1,y1),
由
得ky2-y+1-k=0,
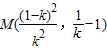
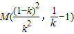
∴
,∴
.
由已知SA=SB,∴直线SB的斜率为-k,∴,
∴
--------------(7分)
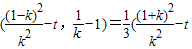
②设E(t,0),∵|EM|=
|NE|,∴
,
∴
,
,则
,∴k=2----------------(8分)
∴直线SA的方程为y=2x-1,则
,同理
∴
---------------------------(12分)
点评:本题主要考查直线与圆锥曲线的综合应用能力,具体涉及到轨迹方程的求法及直线与圆锥曲线的相关知识,解题时要注意合理地进行等价转化.
(Ⅱ)①设直线SA的方程为y-1=k(x-1)(k≠0),M(x1,y1),由
②设E(t,0),由|EM|=
解答:解:(Ⅰ)设S(x,y)(y>0),由已知得F
∴y=1,∴点S的坐标是(1,1)------------------------(2分)
(Ⅱ)①设直线SA的方程为y-1=k(x-1)(k≠0),M(x1,y1),
由
∴
由已知SA=SB,∴直线SB的斜率为-k,∴,
∴
②设E(t,0),∵|EM|=
∴
∴直线SA的方程为y=2x-1,则
∴
点评:本题主要考查直线与圆锥曲线的综合应用能力,具体涉及到轨迹方程的求法及直线与圆锥曲线的相关知识,解题时要注意合理地进行等价转化.
练习册系列答案
相关题目